电力系统稳态分析笔记
碎碎念
- 下文中公式出现$$等形式就是没渲染好,最好开翻墙…因为确实有点卡
- 整理了PDF版本,内容跟下面差别不大,好处是可以打印而且不会出现渲染问题
- 推荐一个98的老前辈的帖子,整理的很全也有一份样卷:
- 【学习天地】电力系统稳态分析知识点整理 样卷 https://www.cc98.org/topic/4901089 复制本链接,打开【CC98】微信小程序,直接查看本帖!
- 第一章自己看书
电力系统元件数学模型
三相电力线路
电路参数
在集总参数模型中,我们可以用四个量来表示电路,即L,R,C,G。
- 分裂导线:
- 每相导线的分裂导线的根数:n
- 三相导线几何间距:\(D_m =\sqrt[3]{D_{12}D_{23}D_{13}}\);分裂导线内部导线等值半径:\(r_{eq} =\sqrt[n]{rd_{12}d_{13}\cdots d_{1n}}\)
- 电感:
- 架空线路正序电感:\(x_1=2\pi fL_1=0.06283\text{ln}\frac{D_m}r+0.0157\,(\Omega/km)\)
- 分裂导线正序电感:\(x_1 =2\pi fL_1=0.06283\text{ln}\frac{D_m}{r_{eq}}+\frac{0.0157}n\,(\Omega/km)\)
- 电纳:
- 架空线路正序电纳:\(b_1=2\pi fC_1=\frac{17.45}{\text{ln}\frac{D_m}r}\times10^{-6}(s/km)\)
- 分裂导线正序电纳:\(b_1=2\pi fC_1=\frac{17.45}{\text{ln}\frac{D_m}{ r _{eq}} }\times10^{-6}(s/km)\)
- 电晕临界电压:\(U_{cr}\propto r\text{lg}\frac{D_m}r\)
等值电路
基本知识:
单位长度等值阻抗:\(Z_1=r_1+jx_1\)
单位长度等值导纳:\(Y_1=g_1+jb_1\)
波阻抗(特性阻抗):\(Z_c=\sqrt{Z_1/Y_1}\,(\Omega)\);传播系数:\(\gamma=\sqrt{Z_1Y_1}=\alpha+j\beta\)
当电路达成匹配(\(Z_c=Z_2\))和无损耗(\(g_1=r_1=0\))时,有:
\[\begin{gather}\begin{bmatrix}U \\ I \end{bmatrix}=e^{j\alpha x}\begin{bmatrix}U_2 \\ I_2 \end{bmatrix}\end{gather}\]
结论: \[ \begin{gather}\begin{cases} (中)100-300km的架空线或100km以内的电缆线:& \begin{cases} Z=Z_1l\\Y=Y_1l \end{cases}\\ (长)超300km的架空线或超100km的电缆线:& \begin{cases} Z=K_ZZ_1l\\Y=K_YY_1l \end{cases}& \begin{cases} K_Z=1+\frac{Z_1Y_1}6l^2\\K_Y=1-\frac{Z_1Y_1}{12}l^2 \end{cases} \\ (短)小于100km且电压低于35kV的架空线:&将\pi型等效电路的两个导纳删了 \end{cases}\end{gather} \]
变压器
双绕组变压器
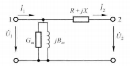
根据变压器内部的量值大小关系,简化双绕组变压器的电路图如下图所示:
也就是说,我们需要求出R,X,Gm,Bm四个量。下面给出变压器的基本参数和求解方法。
变压器参数:哪些东西是我们事先知道的
- 变压器四个额定值:输入\(U_ {1N},I_{1N}\),输出\(U_{2N},I_ {2N}\)
- 变压器额定容量:\(S_N=\sqrt3U_ {1N}I_{1N}=\sqrt3U_ {2N}I_ {2N}\)
- 原理:输出有功功率跟电感、电容大小无关,因此通过这个可以知道电阻、电导的大小;已知电阻、电导远小于电抗、电纳,因此电压降基本只和电抗、电纳有关,通过求电压降得到电感、电容大小。
短路实验求R,X:
- 输出端短路\(U_2=0\),使左边达到额定电流\(I_{1N}\),记下此时的电压\(U_{k}\)和输出功率\(P_k\)
- \(R=\frac{P_ k}{3I_{1N}^2}=\frac{P_k}{1000}\frac{U_{1N}^2}{S _ {N}^2}\,(\Omega)\)
- \(X=\frac{U _k}{\sqrt3I_ {1N}}=U_k\frac{U_ {1N}}{S_ N}=(\frac{U _k}{U_{1N}})\frac{U_ {1N}^2}{S _N}=\frac{U_k\%}{100}\frac{U_ {1N}^2}{S _N}(\Omega)\)
开路实验求G,B:
- 输出端断路\(I_2=0\),使左边达到额定电压\(U_{1N}\),记下此时的电流\(I_0\)和输出功率\(P_0\)
- \(G _m=\frac{P_ 0}{U _{1N}^2}\times 10^{-3}(s)\)
- \(B_ m=\frac{\sqrt3I_0}{U _{1N}}=(\frac{I _0}{I_ {1N}})\frac{S _N}{U_ {1N}^2}=\frac{I_k\%}{100}\frac{S _N}{U_ {1N}^2}(s)\)(一定要取负号!这个Bm只是大小,感纳为负)
三绕组变压器
三绕组变压器的公式与双绕组完全一样,但是多了两步。
P和U的必要归算:
- 因为三绕组每次短路只能选两个端口,因此有三个电压和损耗功率,并且是由两条支路的数据平分。
- 电压(\(U_k%\))写法一模一样。
因为额定容量不同导致的归算:
- 以100/50/100为例,仅有1-3侧能达到额定容量,剩下两个都只有一般的额定电压。因此要将\(U\)乘上2,\(P\)乘上4。
G和B:
- 不需要上面这么麻烦的算,直接整就好。见课本例题。
最大短路损耗:
- 有些厂家只提供了Pkmax,那么就把这个当成容量最大的两个支路一起提供的损耗。然后电阻按照容量大小反向分配,即100/100/50就是两个100的电阻等大平分,50那组的电阻值大小就是100的两倍。比如:\(R_1=R_2=\frac12\frac{P_{kmax}}{1000}\frac{U_{1N}^2}{S_N^2}\,;\,R_3=2R_1\)
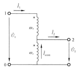
自耦变压器
- 变比:\(k_ {12}=\frac{U _{1N}}{U_ {2N}}=1+\frac{\omega _s}{\omega _c}\)
- 效益系数:\(k_ b=\frac{I_ {com}}{I_2}=1-\frac1{k _{12}}\)
- 通过磁耦合传递的最大功率(标准容量、设计容量):\(S_{st}=K_bS_N\)
- 其用铜量、短路损耗都是普通变压器的\(K_b\)倍,其等值电路与普通变压器相同。
- 三相自耦变压器,公共绕组不过载的条件:\(S_ {com}=\sqrt{(K _bP_1+P _3)^2+(K _bQ_1+Q _3)^2}<K_ b S _N\)
- 三侧不过载条件:\(S_i<\eta S_N\)(\(\eta=\frac{容量}{最大容量}\))
同步发电机和调相机
同步发电机
参数:
| 定子空载相电势 | 每相绕组电阻 | 定子纵轴、横轴同步电抗 | 功率角(\(U\)和\(E_q\)的夹角) |
|---|---|---|---|
| \(E_q\)或\(jE_q\) | \(r\) | \(x_d,x_q\) | \(\delta\)(注意和功率因数角区分!) |
| 参数 | 隐极发电机\((x_d=x_q)\) | 凸极发电机 |
|---|---|---|
| 电压 | \(U=jE_q-(r+jx_q)I\) | \(U=jE_q-j(x_d-x_q)I_d-(r+jx_q)I\) |
| 有功 | \(P=\frac{E_qU}{x_d}\text{sin}\delta\) | 爬 |
| 无功 | 爬 | 爬 |
- 其中,r,xd,xq可能会提供标么值、两种形式的百分值等。其转换如下(都一样的,以r为例):
- \(r=r_*\frac{U_N^2}{S_N}=\frac{r%}{100}\frac{U_N^2}{S_N}\)
无功补偿设备
| 调相机 | 并联电容 | 并联电抗 | 静止补偿器 | |
|---|---|---|---|---|
| 电压方程 | \(U=E_q-jx_dI\) | |||
| 无功功率 | \(Q=UI=\frac{U(E_q-U)}{x_d}\) | \(Q=U^2B_C\) | \(Q=|U^2B_L|\) | \(Q=Q_C+Q_L=U^2(\frac1{x_C}-\frac1{x_L})\) |
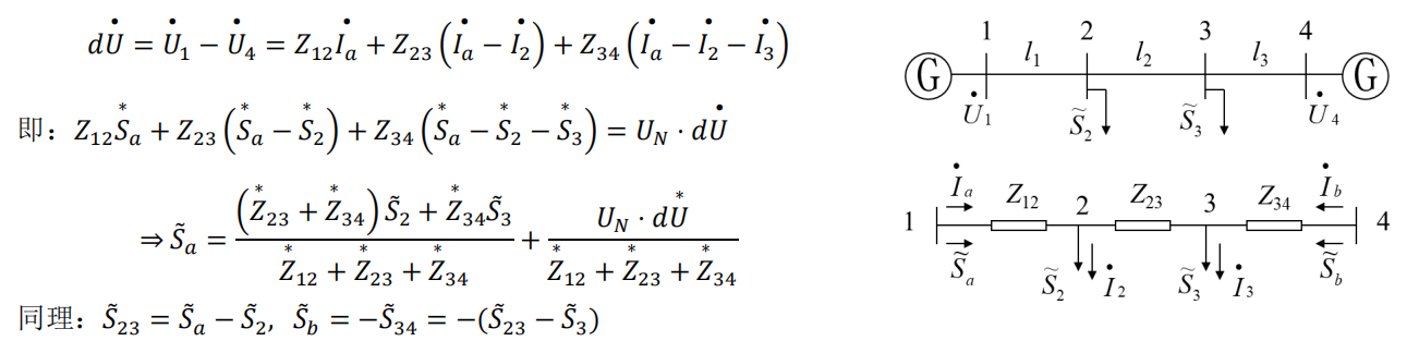
多级电力系统
方法:设定基本级——用实际变比归算到基本级——解归算后的网络——解耦至原级 \[ U'=kU;I'=\frac{I}k;Z'=k^2Z;Y'=\frac Y{k^2} \]
标幺值
| 三相功率 | 线电压 | 阻抗 | 导纳 | 电流 |
|---|---|---|---|---|
| 基准值\(S_B\) | 基准值\(U_B\) | \(Z_B=\frac{U_B^2}{S_B}\) | \(Y_B=\frac{S_B}{U_B^2}\) | \(I_B=\frac{\sqrt3S_B}{U_B}\) |
- 方法:将基本级的基准值归算到各级(实际上只用归算U),然后用这个U和SB来计算各级的阻抗、导纳。
非标准变比
用变压器标准变比来归算(从基本级到各级),代价是把变压器的\(\tau\)型等值电路变成了\(\pi\)型,要复杂一点
书里的图片不好,不应该用k,容易引起误导,应该用\(k^*\)(从1到2是\(1:k^*\),注意顺序)
- \[ \frac{k^*}1\cdot\frac{U_{2B}}{U_{1B}}(标准变比)=\frac{U_{2T}}{U_{1T}}(实际变比)\Rightarrow k^*=\frac{U_{2T}/U_{1T}}{U_{2B}/U_{1B}} \]
电力系统潮流计算
手算公式
电力线路
| \(\Delta U\) | \(\delta U\) | \(\frac B2\)损耗S(等于Q) | \(Z\)上损耗S(P+jQ) |
|---|---|---|---|
| \(\frac{PR+QX}{U_j}\) | \(\frac{PX-QR}{U_j}\) | \(-jU_i^2\frac B2\)和\(-jU_j^2\frac B2\) | \(\frac{P_j^2+Q_j^2}{U_j^2}(R+jX)\) |
- 一些简化:一般而言X远大于R,\(\Delta U\)对电压的影响远大于\(\delta U\)
| 电压降落 | 电压损耗 | 电压偏移 | 电压调整 | 输电效率 |
|---|---|---|---|---|
| \(\Delta U+j\delta U\) | \(\frac{U_1-U_2}{U_N}\times100\%\) | \(\frac{U_{1/2}-U_N}{U_N}\times100\%\) | \(\frac{U_{20}-U_2}{U_{20}}\times100\%\) | \(\frac{P_2}{P_1}\times100\%\) |
变压器
- \(\Delta P=\frac{P^2+Q^2}{U_j^2}R_T+U_i^2G_T\)
- \(\Delta Q=\frac{P^2+Q^2}{U_j^2}X_T+U_i^2B_T\)
手算潮流
辐射型网络:功率推算过去,电压推算回来
两端供电网:
- 环形供电网:
- 单电压级:任一点解环,用两端供电网求解,dU=0
- 多电压级:阻抗端解环,\(\text dU=U_A(\frac1{k_1}-\frac1{k_2})\)
电算潮流
数理基础推导
节点电压方程(原方程):\(\dot I_i=\sum_j y_{ij}(\dot U_i-\dot U_j)\)
节点导纳矩阵:\(Y=[y_{ij}]\),其中\(Y_{ij}=-y_{ij}\,;\,Y_{ii}=\sum_{j=0} y_{ij}\)
- 得:\(\dot I_i=\sum_{j=1}Y_{ij}\dot U_j\),\(\dot I=Y\dot U\)
对地支路导纳只影响\(y_{ii}\),变压器节点要注意使用非标准变比的变压器\(\pi\)型等值电路等效,注意\(1:k^*\)的方向
功率方程:\(\widetilde S_i=P_i+jQ_i=\dot U_i I^*=\dot U_i\sum_{j=1}Y_{ij}^*U_j^*\)
G-S计算法
- 公式推导:
\[ \begin{gather*} P_i+jQ_i=\dot U_i\sum_{j=1}Y_{ij}^*U_j^*=\dot U_i(Y_{ii}^*U_i^*+\sum_{j\neq i}Y_{ij}^*U_j^*)\\ \Rightarrow \begin{cases} PQ:&\dot U_i=\frac1{Y_{ii}}(\frac{P-jQ}{U_i^*}-\sum_{j\neq i}Y_{ij}\dot U_j)\\ PV:&Q_p=\text{Im}(\dot U_p\sum_k Y_{pj}^*U_j^*) \end{cases} \end{gather*} \]
[注]:PV节点也需要列写上面的电压修正方程,但是最后只修正相角不修正电压幅值。
N-R计算法
N-R方程:\(y=f'(x_0)(x-x_0)+f(x_0)=0\Rightarrow x =x_0-\frac{f(x_0)}{f'(x_0)}\)
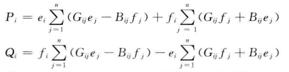
理论依据:\(P_i+jQ_i=\dot U_i\sum_{j=1}Y_{ij}^*U_j^*\)
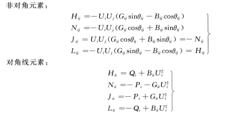
\[ \begin{gather*} \Rightarrow \begin{cases} P_i=U_i\sum_jU_j(G_{ij}cos_{ij}+B_{ij}sin_{ij})\\Q_i=U_i\sum_jU_j(G_{ij}sin_{ij}-B_{ij}cos_{ij})\\ \end{cases} \\\Rightarrow \begin{cases} \Delta P_i=\sum_j(\frac{\partial\Delta P}{\partial \theta_j}\Delta\theta_j+\frac{\partial\Delta P}{\partial U_j}\Delta U_j)=\sum_j(H_{ij}\Delta\theta_j+N_{ij} \Delta U_j/U_j) \\\Delta Q_i=\sum_j(\frac{\partial\Delta Q}{\partial \theta_j}\Delta\theta_j+\frac{\partial\Delta Q}{\partial U_j}\Delta U_j)=\sum_j(J_{ij}\Delta\theta_j+L_{ij} \Delta U_j /U_j)\\ \end{cases}\\ \begin{bmatrix}\Delta P\\\Delta Q \end{bmatrix}=\begin{bmatrix}H&N\\J&L \end{bmatrix}=\begin{bmatrix}\Delta\theta\\U^{-1}\Delta U \end{bmatrix} \end{gather*} \]
- 直角坐标形式:
要把PV节点的方程换成:\(f_{Ui}=U_{is}-e^2-f^2\)
P-Q分解法
\[ \begin{gather*} 简化:\begin{cases} cos\theta_{ij}\approx1\\G_{ij}sin\theta_{ij}<<B_{ij}\\Q_i(互导纳)<<U_i^2B_i(自导纳)\\ \end{cases} \Rightarrow \begin{cases} H_{ij}= L_{ij}\approx U_iU_jB_{ij}\\N_{ij}=L_{ij}\approx0 \end{cases}\\ \Rightarrow \begin{cases}\Delta P=UB'U\Delta\theta\\\Delta Q=UB''\Delta U\end{cases} \end{gather*} \]
好处:用一个n-1和一个n-m-1阶的方程组代替2(n-1)-m阶的方程组
其中,\(B’\)是去掉平衡节点的节点导纳矩阵(的虚部),\(B''\)是去掉平衡节点和PV节点的节点导纳矩阵(的虚部),\(U\)是对角矩阵
直流潮流法
\[ \begin{gather*} 继续简化:\begin{cases}g_{ij}=0,b_{ij}=-\frac1{x_{ij}}\\U_i=1\\sin_{ij}=\theta_i-\theta_j \end{cases}\Rightarrow\begin{cases} \theta=(-B')P\\P_{ij}=\frac{\theta_i-\theta_j}{x_{ij}}\end{cases} \end{gather*} \]
有功与频率调整
- 基本方程:
- \(\frac{T_j}{\omega}\cdot\frac{\text d\omega}{\text dt}=P_T-P_E\)
- \(发电机发电P_G=线路网损P_L+负载损耗P_D\)
频率调节效应系数(单位调节功率)
- 负荷:
- \(P_D=a_0P+a_1P(\frac{f}{f_e})+\dots+a_nP(\frac f{f_e})^{n-1}\),负载消耗有功与频率同向变化,小范围内近似为直线
- \(K_D=\frac{\Delta P_D}{\Delta f}=\sum ia_i\),为曲线斜率,\(K_{D*}=\frac{\Delta P_D/P_N}{\Delta f/f_N}\)
- 发电机:
- 发电机输出有功与频率反向变化,近似为直线
- \(K_G=-\frac{\Delta P_G}{\Delta f}\),为曲线斜率的负数(绝对值),\(K_{G*}=\frac{\Delta P_G/P_N}{\Delta f/f_N}\)
- 整个电力系统:
- \(K_S=K_G+K_D\)(三个都是正数,建议使用有名值而非标幺值)\(K=K_*\frac{P_N}{f_N}\)
一次与二次调频
一次调频:调速器。二次调频:调频器。
一次调频:\(\Delta P_D=(K_G+K_D)\Delta f'=K_S\Delta f'\),即\(f_0'=f_0-\frac{\Delta P_D}{K_S}\)(这里的\(P_D\)就是上图中的\(P_L\),表示负荷而非网损)
二次调频:\(\Delta P_D-\Delta P_G=K_S\Delta f''\),即\(f_0''=f_0-\frac{\Delta P_D-\Delta P_G}{K_S}\)
联合调频:就是相当于变成了一个系统,调节系数和功率消耗都相加——\(\Delta f=\frac{\Delta P_a+\Delta P_b}{K_a+K_b}\)
- \(\Delta P_{ab}=\frac{K_a\Delta P_b-K_b\Delta P_a}{K_a+K_b}\)
有功的经济分配
- 等微增率原则:(目标:\(minF\))
\[ \begin{gather*} 不考虑网损:\begin{cases} \sum P_{Gi}=P_D\\\frac{\partial F_i(P_{Gi})}{\partial P_{Gi}} =\lambda \end{cases}\Rightarrow考虑网损:\begin{cases} \sum P_{Gi}=P_D+P_L\\\frac{\partial F_i(P_{Gi})}{\partial P_{Gi}}\frac1{1-\frac{\partial P_L}{\partial P_{Gi}}}=\lambda \end{cases} \end{gather*} \]
- 先计算,后验算。若有\(P_{Gi}>P_{Gi\,max}\)则取其为最大值,对剩下的系统再次用等微增率原则进行分配。最小值同理。
无功与电压调整
变压器调压
遇到这种问题不要急也不用硬背公式,先画电路图再写电压方程,慢慢转化,把k换成额定变比,记住我们最终要求的量是1侧的额定电压。
无功补偿装置调压
由\(U_1\approx U_2'+\frac{PR+QX}{U_2'}=kU_{2R}+\frac{PR+(Q-Q_C)X}{kU_{2R}}\),得到\(Q_C\approx\frac{kU_{2R}}X(kU_{2R}-U_2')\)
- 最小补偿容量\(Q_C\):(与变压器分接头共同调节)
| 步骤 | 调相机 | 并联电容器 |
|---|---|---|
| \(Q_{Cmin}\) | \(-K_QQ_{CN}\)(取K=0.5) | \(0\) |
| 1 | 将最大最小Q带入公式联立 \(k=\frac{U_{2Rmax}U'_{2max}+2U_{2Rmin}U_{2min}'}{U_{2Rmax}^2+2U_{2Rmin}^2}\) |
最小负荷下选分接头 \(U_{1t}=\frac{U_{1min}-\Delta U}{U_{2Rmin}}U_{2t}\) |
| 2 | 求得变比K后选择最近的分接头,求\(Q_{CN}\)并验算 | 按上述\(Q_C\)公式确定补偿容量并验算 |
串联电容调压
上面是改变Q,这个是改变X:\(U_1\approx U_2+\frac{PR+QX}{U_2}=U_{2R}+\frac{PR+Q(X-X_C)}{U_{2R}}\),得到\(X_C\approx\frac{U_{2R}}Q(U_{2R}-U_2)\)
设串联了\(n\)组电容,每“组”电容由\(m\)个电容器并联而成,则:
- \(m=I_{Cmax}/I_{CN}\),\(n=X_C/(\frac{X_{CN}}m)\),\(Q=3mnQ_{CN}\)
无功的经济分配
- 等微增率原则:(目标:\(minP_L\))
\[ \begin{gather*} 考虑无功网损:\begin{cases} \sum Q_i=Q_L+Q_D\\\frac{\partial P_L}{\partial Q_{i}}\frac1{1-\frac{\partial Q_L}{\partial Q_{i}}}=\lambda \end{cases} \end{gather*} \]

























